top

Gadvasu

ਗੁਰੂ ਅੰਗਦ ਦੇਵ ਵੈਟਨਰੀ ਅਤੇ ਐਨੀਮਲ ਸਾਇੰਸਜ਼ ਯੂਨੀਵਰਸਿਟੀ
Guru Angad Dev Veterinary And Animal Sciences University

ADMISSION 2019-20
You are viewing:      

tender notice

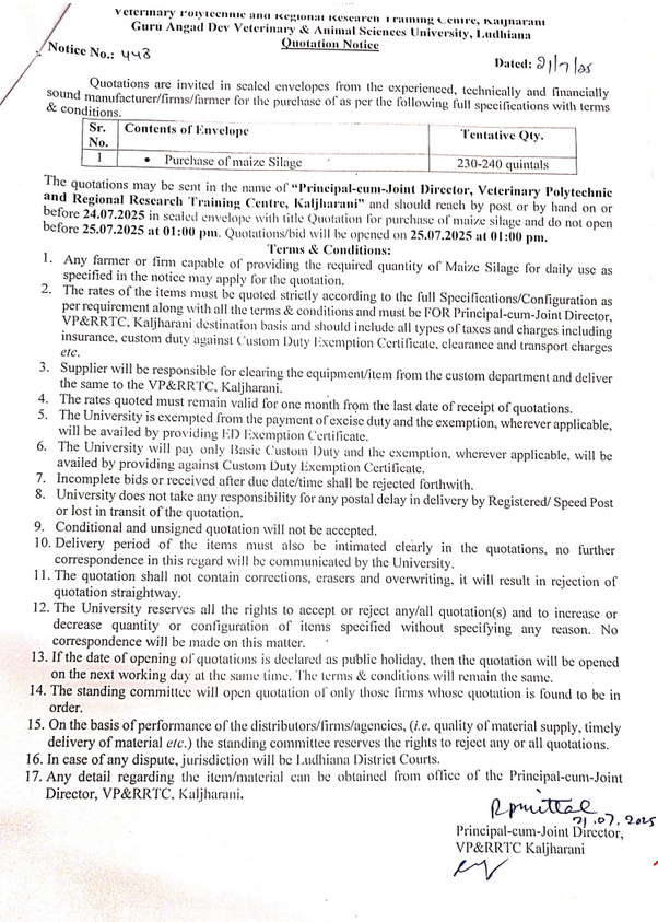
Quotation notice for the purchase of Maize Silage, Principal-cum-Joint Director, VP&RRTC, Kaljharani, GADVASU, Ludhiana

July 21 Expiring at: July 26

 


Back Print