top

Gadvasu

ਗੁਰੂ ਅੰਗਦ ਦੇਵ ਵੈਟਨਰੀ ਅਤੇ ਐਨੀਮਲ ਸਾਇੰਸਜ਼ ਯੂਨੀਵਰਸਿਟੀ
Guru Angad Dev Veterinary And Animal Sciences University

ADMISSION 2019-20
You are viewing:      

tender notice

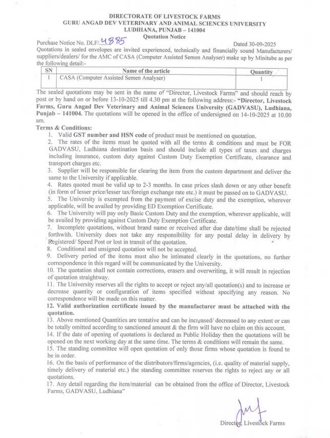
Quotation notice for AMC of CASA, Directorate of Livestock Farms, Guru Angad Dev Veterinary & Animal Sciences University, Ludhiana

September 30 Expiring at: October 15


Back Print