top

Gadvasu

ਗੁਰੂ ਅੰਗਦ ਦੇਵ ਵੈਟਨਰੀ ਅਤੇ ਐਨੀਮਲ ਸਾਇੰਸਜ਼ ਯੂਨੀਵਰਸਿਟੀ
Guru Angad Dev Veterinary And Animal Sciences University

ADMISSION 2019-20
You are viewing:      

tender notice

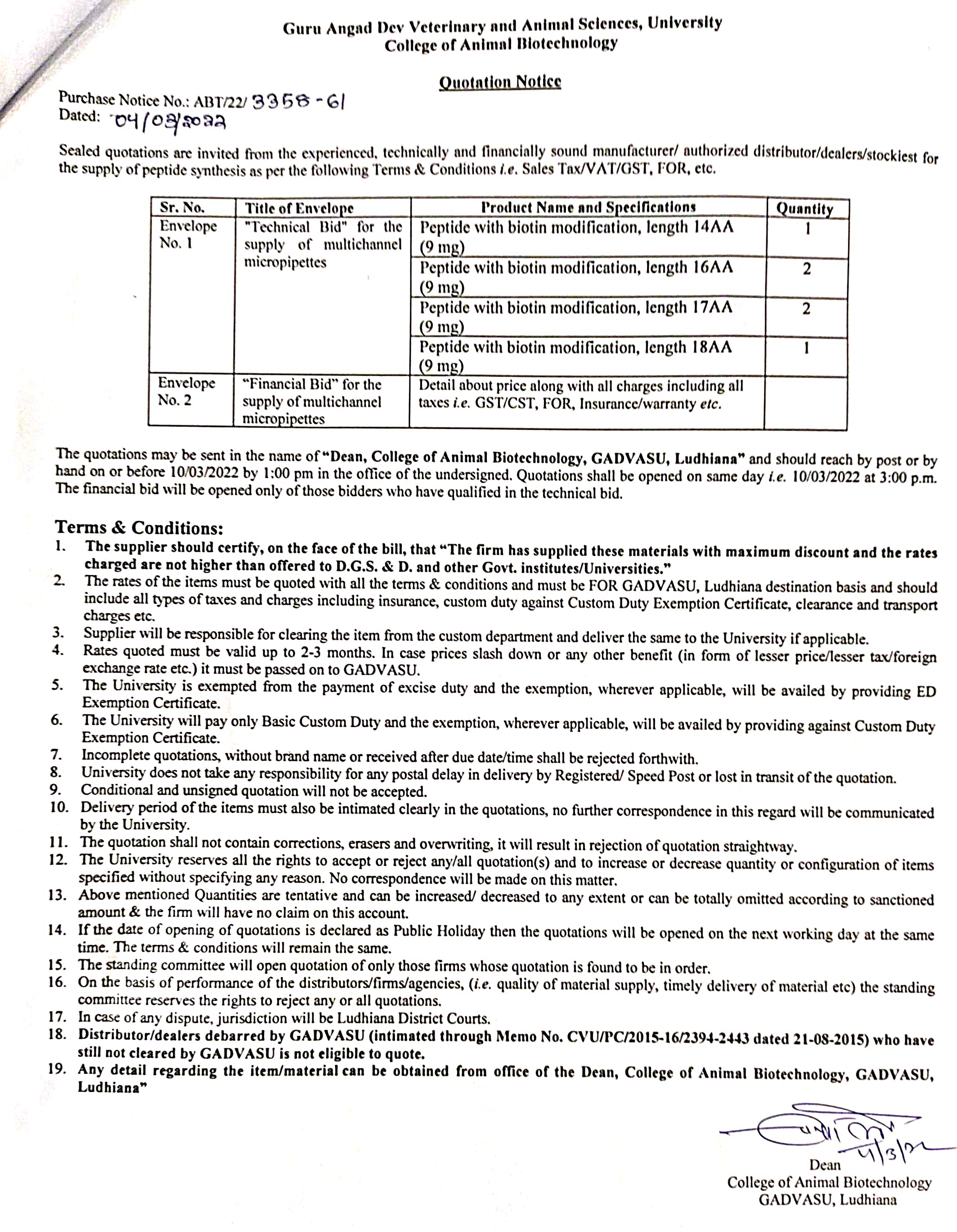
Quotation notice for the Supply of peptide synthesis, Dean, College of Animal Biotechnology, GADVASU, Ludhiana

March 4 Expiring at: March 11


Back Print