Gadvasu
ਗੁਰੂ ਅੰਗਦ ਦੇਵ ਵੈਟਨਰੀ ਅਤੇ ਐਨੀਮਲ ਸਾਇੰਸਜ਼ ਯੂਨੀਵਰਸਿਟੀ
Guru Angad Dev Veterinary And Animal Sciences University
Farmers Portal
Download Corner
Helpline Number
Helpline Number
Student Corner
ADMISSION
Admission form for UG/PG/NRI
Admission form for UG Programme
Admission form for PG Programme
Admission form for Diploma Programme
ADMISSION 2019-20
About
About Guru Angad Dev Ji
The University
Administration
Vice chancellor
Board of management
Academic council
Finance Committee
Officers of the university
Registrar
Director of Research
Dean, Postgraduate Studies
Director of Extension Education
Director Student Welfare
Estate Officer
Dean, College of Veterinary Science
Dean, College of Fisheries
Dean, College of Dairy and Food Science Technology
Dean, College of Animal Biotechnology
Dean, College of Veterinary Science, Rampura Phul
Comptroller
Librarian
Controller of Examinations
College & Institute
COLLEGE OF VETERINARY SCIENCE
- Centre of One Health
- Director of Clinics
- Director of Livestock Farms
COLLEGE OF FISHERIES
COLLEGE OF DAIRY AND FOOD SCIENCE TECHNOLOGY
COLLEGE OF ANIMAL BIOTECHNOLOGY
COLLEGE OF VETERINARY SCIENCE, RAMPURA PHUL
VETERINARY POLYTECHNIC KALJHARANI
Admission
undergraduate
Eligibility Criteria
General
For Foreign Students
Admission Capacity
Refund Policy
Scholarship/Stipends/Fellowships & Other Awards
postgraduate
Eligibility Criteria
Master Programmes
Ph.D Programmes
For Foreign Students
Admission Capacity
Refund Policy
Scholarship/Stipends/Fellowships & Other Awards
Diploma
Eligibility Criteria
Admission Capacity
Fee Structure
Refund Policy & Fee Concession
Scholarship/Stipends/Awards, Merit Certificates and Medals
Postgraduate Diploma/Short/ Certificate Courses
Postgraduate Diploma Courses
Certificate Courses
Short Courses
Advance Training Course
Research
Director of Research
Additional Director of Research
Coordinator of Research
University research mandate
Goals
Regional Stations
RRTC, Kaljharani (Bathinda)
RRTC, Talwara (Hoshiarpur)
About RRTC Talwara
Director, RRTC, Talwara
Staff of RRTC, Talwara
Multi-Specialty Veterinary Hospital and RRTC, Sappanwali, Abohar (Fazilka)
Thrust Area
Major Novel Strengths
Collaboration/MOU's
Extension
About the Directorate
Director of Extension Education
Additional Director of Extension Education
University extension mandate
Krishi Vigyan Kendra
KVK, Barnala
Associate Director (Training)
Staff of KVK, Barnala
KVK, Mohali
Deputy Director(Training)
Staff of KVK, S.A.S. Nagar
KVK, Booh, Tarn Taran
Deputy Director(Training)
Staff of KVK, Booh, Tarn Taran
Broad Areas of Operation
Veterinary & Animal Husbandry Information Centre
Farm Training Programme
Publications
Library
About the Library
Librarian
Library Section
Library Services
Cyberary Services
National Archives of India(NAI)
Access CTS ebooks
Rules and Regulations
VLIIF
About VLIIF
campus life
Arts & Culture
Athletics & Fitness
Students Life
Grievances
Anti Ragging Squad & Committee
Students Grievances Redressal Committee
Sexual Harassment of Women at Workplace
Internal Complaint Committee (ICC)
Socio Economically Disadvantaged Groups (SEDGs)
Student Service Centre (SSC)
Representations by Sh. Amrik Singh, EX Sr. Assistant
Contact Us
×
Check Result
Name
Roll Number
Check
You are viewing:
Share this page
tender notice
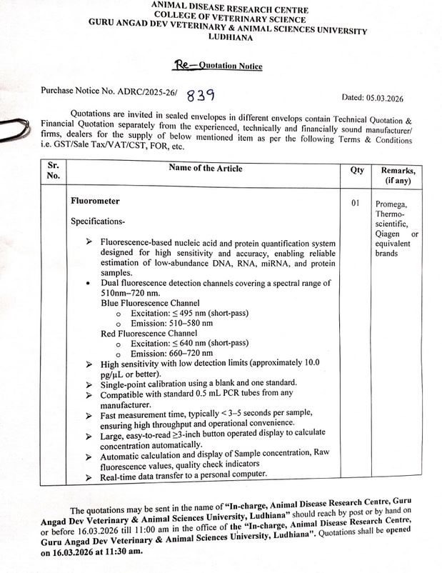
Re-Quotation notice for Fluorometer, In-charge, Animal Disease Research Centre, Guru Angad Dev Veterinary & Animal Sciences University, Ludhiana
March 5
Expiring at:
March 16
Back
Print
Quick Access
Photo Gallery
Video Gallery
GADVASU Radio
Cyberrary
eResources
Download Corner
Contact
Login
undergraduate
Eligibility Criteria
Admission Capacity
Refund Policy
Scholarship/Stipends/Fellowships & Other Awards
postgraduate
Eligibility Criteria
Admission Capacity
Refund Policy
Scholarship/Stipends/Fellowships & Other Awards
Diploma
Eligibility Criteria
Admission Capacity
Fee Structure
Refund Policy & Fee Concession
Scholarship/Stipends/Awards, Merit Certificates and Medals
Postgraduate Diploma/Short/ Certificate Courses
Postgraduate Diploma Courses
Certificate Courses
Short Courses
Advance Training Course
Vision 2030
A-Z Index
Photo Gallery
Placement Cell
About the placement Cell
Objectives
List of Recruiters
Placement Information
Placement Cell Registration
Alumni
Alumni Association COVS
Distinguished Alumni
Guidelines for Vet Alumnus
Vet Alumnus
Video Gallery
Directory
Cyberary
eResouces
PACS For Radiology
Subscribe Newsletter
Receive updates from us
GO