top

Gadvasu

ਗੁਰੂ ਅੰਗਦ ਦੇਵ ਵੈਟਨਰੀ ਅਤੇ ਐਨੀਮਲ ਸਾਇੰਸਜ਼ ਯੂਨੀਵਰਸਿਟੀ
Guru Angad Dev Veterinary And Animal Sciences University

ADMISSION 2019-20
You are viewing:      

tender notice

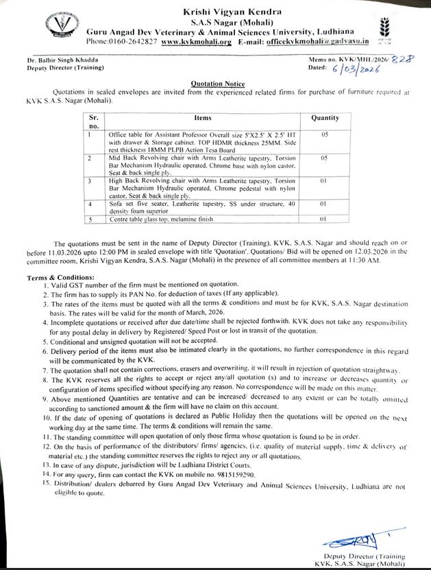
Quotation notice for purchase of Furniture, Deputy Director (Training), Krishi Vigyan Kendra, S.A.S Nagar (Mohali)

March 6 Expiring at: March 11


Back Print