top

Gadvasu

ਗੁਰੂ ਅੰਗਦ ਦੇਵ ਵੈਟਨਰੀ ਅਤੇ ਐਨੀਮਲ ਸਾਇੰਸਜ਼ ਯੂਨੀਵਰਸਿਟੀ
Guru Angad Dev Veterinary And Animal Sciences University

ADMISSION 2019-20
You are viewing:      

tender notice

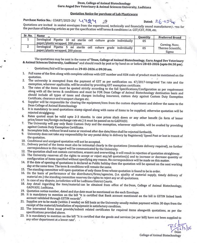
Quotation notice for purchase of Lab Plasticware, Dean, College of Animal Biotechnology, Guru Angad Dev Veterinary & Animal Sciences University, Ludhiana

March 27 Expiring at: March 29


Back Print